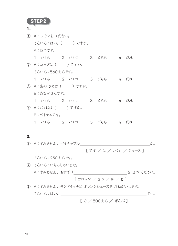
✨Tsunagu Nihongo Tiếng Nhật Kết Nối - Sơ Cấp 1, Sách Bài Tập - Tsuji Azuko, Katsura Miho, Kojima Minako
Mua tại Shopee
Mua tại Tiki
Mua tại Lazada
Mua tại Tiktok- Giới thiệu tóm tắt tác phẩm:
Giáo trình được biên soạn nhằm giúp người học giao tiếp bằng tiếng Nhật tốt hơn trong các hoạt động xã hội. Các tình huống học tập trong giáo trình là những tình huống thường được sử dụng để giao tiếp trên thực tế, được lựa chọn từ các lĩnh vực trong đời sống sinh hoạt, trường học và xã hội. Cách học được tổ chức theo hình thức đặc biệt ưu tiên việc "Giao tiếp" hơn là "Hiểu" từ vựng và ngữ pháp. [Hội thoại tình huống -> Xác nhận mẫu câu -> Luyện tập mẫu câu -> Hội thoại ứng dụng] Giáo trình bao gồm 2 sách giáo khoa sơ cấp 1, 2, hai quyển Work book sơ cấp 1,2 và 1 quyển Bản dịch và giải thích ngữ pháp.
Mua tại Shopee
Mua tại Tiki
Mua tại Lazada
Mua tại TiktokTiếng Nhật Cho Mọi Người - Trình Độ Sơ Cấp 1 - Bản Tiếng Nhật - (Tái Bản) “Minna no Nihongo” là bộ giáo trình sơ cấp dành cho những ai muốn tìm hiểu về
Sổ Tay Đàm Thoại Tiếng Nhật Du Học Và Du Lịch (Kèm CD) Đây là cuốn sổ tay nhỏ, thuận tiện mang theo bên mình hữu ích dành cho những ai bước đầu đến Nhật.Sổ
19 Vấn Đề Nghe Không Hiểu Tiếng Nhật Bao gồm các từ thường sử dụng: trong bài, chọn ra các từ có tần suất sử dụng cao, kết hợp với hình minh họa sinh động,
Tiếng Nhật là một trong những ngôn ngữ khó nhất thế giới! Chính vì vậy, nếu muốn học tiếng Nhật nhanh chóng và hiệu quả, bạn cần học một cách bài bản, đúng lộ trình
Tiếng Nhật Cho Mọi Người - Sơ cấp 1: Viết - Nhớ Các Mẫu Câu Nhà xuất bản : NXB Trẻ. Công ty phát hành : NXB Trẻ. Tác giả : Hirai Etsuko. Kích thước
Giao Tiếp Tiếng Nhật Trong Kinh Doanh - Basic 1 Nhật Bản là quốc gia đứng đầu về tổng vốn ODA đầu tư vào Việt Nam. Làn sóng đầu tư mạnh mẽ của các doanh
Marugoto - Ngôn Ngữ Và Văn Hóa Nhật Bản Sơ-Trung Cấp A2/B1 Marugoto là một giáo trình công phu và đầy tâm huyết của Nhật Bản với mong muốn phổ cập và nâng cao tiếng
Tiếng Nhật chuyên ngành điều dưỡng dành cho người mới bắt đầu - Kiến thức đời sống & giao tiếp ------------ Nằm trong bộ sách “Tiếng Nhật chuyên ngành điều dưỡng”, bao gồm “Từ vựng
Giới thiệu sách Giáo trình được biên soạn nhằm giúp người học giao tiếp bằng tiếng Nhật tốt hơn trong các hoạt động xã hội. Các tình huống học tập trong giáo trình là những
900 Câu Giao Tiếp Tiếng Nhật Thông Dụng (Kèm CD) Cuốn sách được biên soạn nhằm phục vụ nhu cầu và bù đắp được kiến thức cho bạn, cuốn sách bố cục làm 3 phần:
Hikari - 30 Phút Tự Học Tiếng Nhật Mỗi Ngày (Sách Hai Màu) Nhu cầu học tiếng Nhật ngày càng tăng, Tuy nhiên với những người không có thời gian và điều kiện tới các
Hikari - Tiếng Nhật Giao Tiếp Thế Kỷ 21 Nhu cầu tìm hiểu về văn hoá Nhật Bản, đến Nhật du lịch và tìm kiếm cơ hội việc làm tại các công ty của Nhật
Tiếng Nhật Thật Đơn Giản Trong Giao Tiếp Hàng Ngày - Sơ Cấp 2 Với những người muốn học tiếng Nhật hay bất kỳ một ngôn ngữ nào khác thì việc lựa chọn cho mình
1800 Câu Đàm Thoại Tiếng Nhật Thông Dụng tuyển tập đầy đủ nhất các quán ngữ tiếng Nhật thông dụng nhất, được viết ra nhằm giúp cho người học sử dụng trong hoạt động giao tiếp
Quyển “Các mẫu câu tiếng Nhật căn bản” được biên soạn dành cho các bạn học sinh, sinh viên và những người đã đi làm có sự quan tâm đến tiếng Nhật. Sách bao gồm
Marugoto là một giáo trình công phu và đầy tâm huyết của Nhật Bản với mong muốn phổ cập và nâng cao tiếng Nhật cho người nước ngoài ở khắp thế giới. Giáo trình được
Giao Tiếp Tiếng Nhật Trong Kinh Doanh - Basic 2 Nhật Bản là quốc gia đứng đầu về tổng vốn ODA đầu tư vào Việt Nam. Làn sóng đầu tư mạnh mẽ của các doanh
Marugoto - Ngôn Ngữ Và Văn Hóa Nhật Bản - Trung Cấp 2 B1 Ngày nay, khi quá trình toàn cầu hóa diễn ra ngày càng mạnh mẽ thì việc người ta có nhu cầu
Tiếng Nhật Chuyên Ngành Điều Dưỡng Dành Cho Người Mới Bắt Đầu - Từ Vựng Cơ Bản Nằm trong bộ sách Tiếng Nhật chuyên ngành điều dưỡng. Quyển "Từ vựng cơ bản" này là tổng
Mã hàng 8934974181170 Tên Nhà Cung Cấp NXB Trẻ Tác giả Mitsuhashi Asako, Maruyama Makiko, Horiuchi Takako, Nishi Mikako Người Dịch Lê Lệ Thủy NXB NXB Trẻ Năm XB 2022 Ngôn Ngữ Tiếng Việt Trọng
Tiếng Nhật Xã Giao Hằng Ngày (Kèm CD) Hiện nnay tiếng Nhật trở nên phổ biến và quen thuộc đối với con người Việt Nam. Theo đó nhu cầu học tập tiếng Nhật ngày càng
Tác Giả: Nhiều tác giả Ngày phát hành: 2020 Số trang: 320 Kích thước: 19 x 26 cm NXB: NXB Đại học Quốc gia Giá bìa: 258.000VND Nhật Bản là quốc gia đứng đầu về
Giáo trình chính Tiếng Nhật cho mọi người bao gồm Giáo trình Sơ cấp I và Sơ cấp II Bản tiếng Nhật - 2 quyển và Bản dịch và Giải thích ngữ pháp Sơ cấp I và
Tiếng Nhật chuyên ngành điều dưỡng dành cho người mới bắt đầu - Kiến thức cơ bản ------------ Nằm trong bộ sách “Tiếng Nhật chuyên ngành điều dưỡng”, bao gồm “Từ vựng cơ bản”,
Sách nằm trong bộ Minna no Nihongo - Tiếng Nhật dành cho mọi người - Bản mới. Là sách bổ trợ giúp người học nâng cao kỹ năng nghe thông qua các bài tập nghe,
Tiếng Nhật Cho Mọi Người - Sơ Cấp 2 - Tiếng Nhật Tại Hiện Trường Làm Việc - Phần Ứng Dụng Giáo trình giúp học viên biết cách sử dụng tiếng Nhật chính xác trong
Tiếng Nhật Cho Mọi Người - Sơ Cấp 2 - Tiếng Nhật Tại Hiện Trường Làm Việc - Phần Ứng Dụng ------------ Tiếng Nhật Cho Mọi Người - Sơ Cấp 2 - Tiếng Nhật
Nhu cầu tìm hiểu về văn hoá Nhật Bản, đến Nhật du lịch và tìm kiếm cơ hội việc làm tại các công ty của Nhật trở nên cấp thiết, đồng thời nhu cầu học
- Giới thiệu tóm tắt tác phẩm: Giáo trình được biên soạn nhằm giúp người học giao tiếp bằng tiếng Nhật tốt hơn trong các hoạt động xã hội. Các tình huống học tập trong
- Giới thiệu tóm tắt tác phẩm: Giáo trình được biên soạn nhằm giúp người học giao tiếp bằng tiếng Nhật tốt hơn trong các hoạt động xã hội. Các tình huống học tập trong
Kỳ Thi Năng Lực Nhật Ngữ JLPT - N4 Point & Practice - Nghe Hiểu Giáo trình này là tập hợp những dạng đề giúp người thi có đủ năng lực tối thiểu cần thiết
Kỳ Thi Năng Lực Nhật Ngữ JLPT - N4 Point & Practice - Ngữ Pháp Giáo trình này là tập hợp những dạng đề giúp người thi có đủ năng lực tối thiểu cần thiết
"Đặc Điểm Ngữ Âm Và Quy Tắc Phát Âm Trong Tiếng Nhật – Chìa Khóa Chinh Phục Ngôn Ngữ Nhật Bản" Bạn có bao giờ tự hỏi tại sao người Nhật phát âm một số
2000 Câu Giao Tiếp Nhật - Việt (Kèm CD) Phần đầu của tài liệu này trình bày các từ loại thường dùng, những câu ngắn, đơn giản nhưng rất thông dụng, tiếp theo là các
Hakari - Tiếng Nhật Giao Tiếp Dành Cho Mọi Người Chắc hẳn đối với những người lần đầu tiên học tiếng Nhật giao tiếp thì hầu như đều có những thắc mắc: - Làm sao
Marugoto A1 - Hoạt Động Giao Tiếp Giáo trình Marugoto - Ngôn ngữ và Văn hóa Nhật Bản được triển khai dựa trên Chuẩn Giáo dục tiếng Nhật JF. Tựa đề Marugoto, có nghĩa là
Giáo Trình Giao Tiếp Tiếng Nhật Hiện Đại Bạn đang rất muốn học tiếng Nhật nhưng lại không biết bắt đầu từ đâu? Bạn đã bắt đầu học tiếng Nhật nhưng rồi bỏ cuộc vì
Bạn đã học qua tiếng Nhật nhưng rồi bạn nhận ra rằng thật khó để nhớ hết được những kiến thức phức tạp và khi đối diện những tình huống thực tế thì bạn lại
Cuốn sách “ Tự Học Tiếng Nhật Cấp Tốc Trong 30 Ngày ” này là một cẩm nang cần thiết cho các bạn sinh viên, học sinh, các bạn đi công tác, lao động và học tập
Cuốn “Tiếng Nhật dành cho người đi du lịch” bao gồm các chủ đề thiết thực và liên quan đến đời sống hàng ngày. Chủ đề được thiết kế một cách sáng tạo và đem
1. 1800 Câu Đàm Thoại Tiếng Nhật Thông Dụng Tác Giả: Nhiều tác giả Ngày phát hành: 2020 Số trang: 304 Kích thước: 14.5 x 20.5 cm NXB: NXB Đại Học Quốc Gia Giá bìa:
Tiếng Nhật Cho Moi Người Trình Độ Sơ Cấp 1 - 25 Bài Luyện Nghe (Kèm CD) Nhà xuất bản : NXB Trẻ. Công ty phát hành : NXB Trẻ. Tác giả : Tanaka Yone.
Tiếng Nhật Cho Mọi Người - Sơ Cấp: Tập Viết Theo Chủ Đề Với Các Bài Văn Mẫu (Bản mới) Nhà xuất bản : NXB Trẻ. Công ty phát hành : NXB Trẻ. Tác giả
TIẾNG NHẬT CHO MỌI NGƯỜI SƠ CẤP BẢN MỚI: TẬP VIẾT THEO CHỦ ĐỀ VỚI CÁC BÀI VĂN MẪU
Tiếng Nhật Cho Mọi Người Sơ Cấp 1 - Viết - Nhớ Các Mẫu Câu Sách nằm trong bộ Minna no Nihongo - Tiếng Nhật dành cho mọi người - Bản mới. Được thiết kế
Cuốn sách “Tiếng Nhật công nghệ thông tin trong ngành phần mềm” là lời giải cho bài toán “Học tiếng Nhật thế nào để có thể ứng dụng ngay được vào công việc”. Nội dung
Nằm trong bộ sách “Tiếng Nhật chuyên ngành điều dưỡng”, bao gồm “Từ vựng cơ bản”, “Kiến thức cơ bản” và “Kiến thức đời sống và Giao tiếp”. Quyển "Kiến thức cơ bản" này là
Marugoto - Ngôn Ngữ Và Văn Hóa Nhật Bản - Sơ Cấp 1 - A2 - Hoạt Động Giao Tiếp Tiếp nối cho giáo trình Marugoto - Ngôn ngữ và Văn hóa Nhật Bản cấp
Tác Giả: The Japan Foundation Công ty phát hành: First News - Trí Việt Ngày phát hành: 2019 Số trang: 148 Kích thước: 20.5 x 28.5 cm NXB: NXB Đại học Quốc gia Giá bìa:
Cuốn sách “Tiếng Nhật công nghệ thông tin trong ngành phần mềm” là lời giải cho bài toán “Học tiếng Nhật thế nào để có thể ứng dụng ngay được vào công việc”. Nội dung
Hiện nay, mối quan hệ giữa Việt Nam và Nhật Bản đang phát triển nhanh chóng về mọi mặt, đặc biệt là trên lĩnh vực công nghệ thông tin. Cùng với đó, nhu cầu nhân
Mã hàng 8935280914506 Tên Nhà Cung Cấp Thái Hà Tác giả Komaki Michiko, Nguyễn Thị Khánh, Đặng Khải Hoàn, Đinh Thị Hằng
Giới thiệu tóm tắt tác phẩm: Giáo trình giúp học viên biết cách sử dụng tiếng Nhật chính xác trong các tình huống và bối cảnh thường gặp trong thực tế tại các công ty,
Hikari - 30 Phút Tự Học Tiếng Nhật Mỗi Ngày Nhu cầu học tiếng Nhật ngày càng tăng, Tuy nhiên với những người không có thời gian và điều kiện tới các trung tâm
Tác giả: AOTS - The Association For Overseas Technical Scholarship Khổ sách: 19x26cm Số trang: 124 Giá bán: 70,000 VNĐ ISBN: 978-604-1-23330-0 In lần thứ 1 năm 2023 NXB: NXB Trẻ NPH: NXB Trẻ Giới
Giáo Trình Tiếng Nhật Tổng Hợp Dành Cho Người Việt Sơ Cấp - Tập 2 (Kèm CD) Có thể nói thời đại hiện nay chính là thời đại quốc tế hóa và việc giáo dục
1800 Câu Đàm Thoại Tiếng Nhật Thông Dụng 1800 Câu Đàm Thoại Tiếng Nhật Thông Dụng tuyển tập đầy đủ nhất các quán ngữ tiếng Nhật thông dụng nhất, được viết ra nhằm giúp cho người
- Giới thiệu tóm tắt tác phẩm: Giáo trình được biên soạn nhằm giúp người học giao tiếp bằng tiếng Nhật tốt hơn trong các hoạt động xã hội. Các tình huống học tập trong
- Giới thiệu tóm tắt tác phẩm: Giáo trình được biên soạn nhằm giúp người học giao tiếp bằng tiếng Nhật tốt hơn trong các hoạt động xã hội. Các tình huống học tập trong
Tsunagu Nihongo - Tiếng Nhật Kết Nối - Sách Bài Tập Sơ Cấp 1 Giáo trình được biên soạn nhằm giúp người học giao tiếp bằng tiếng Nhật tốt hơn trong các hoạt động xã
👁️ 877 | ⌚2025-09-29 19:43:14.323
1H nhớ ngay BẢNG CHỮ KATAKANA tiếng Nhật - Học Tiếng Nhật cùng Minato
CHỈ 1H45P thuộc ngay TOÀN BỘ BẢNG CHỮ CÁI HIRAGANA tiếng Nhật - Học tiếng Nhật cùng Minato
Ngữ pháp Minna 1 - Bài 4 - Học Tiếng Nhật Minna No Nihongo 1 | Học tiếng nhật cơ bản N5 miễn phí
Ngữ pháp Minna 1 - Bài 1 - Học Tiếng Nhật Minna No Nihongo 1 | Học tiếng nhật cơ bản N5 miễn phí
Chữa sách bài tập Minna (みんなの日本語初級I・標準問題集)| Bài 1, 2 | Học tiếng Nhật miễn phí với Minh Dokkai
Sách bài tập Minna no nihongo sơ cấp tập 2 bản mới

1H nhớ ngay BẢNG CHỮ KATAKANA tiếng Nhật - Học Tiếng Nhật cùng Minato
CHỈ 1H45P thuộc ngay TOÀN BỘ BẢNG CHỮ CÁI HIRAGANA tiếng Nhật - Học tiếng Nhật cùng Minato
Ngữ pháp Minna 1 - Bài 4 - Học Tiếng Nhật Minna No Nihongo 1 | Học tiếng nhật cơ bản N5 miễn phí
Ngữ pháp Minna 1 - Bài 1 - Học Tiếng Nhật Minna No Nihongo 1 | Học tiếng nhật cơ bản N5 miễn phí
Chữa sách bài tập Minna (みんなの日本語初級I・標準問題集)| Bài 1, 2 | Học tiếng Nhật miễn phí với Minh Dokkai
Sách bài tập Minna no nihongo sơ cấp tập 2 bản mới

+ CHI TIẾT - 100% da bò tự nhiên - Chất liệu: Da bò Pebbled mềm mại - Màu da: Vàng cam - Kiểu dáng: Đứng – Gập 2 - Khóa kéo: Không - Kích
4P's có nghĩa "For Peace" - cho Hòa Bình tràn ngập trên toàn thế giới. Tham vọng ở Pizza 4P's không chỉ đơn giản là "Một nhà hàng Pizza tuyệt vời" mà chúng tôi có
Le Monde Steak là hệ thống Bít Tết theo phong cách thành thị Pháp đầu tiên tại Việt Nam, nơi thực khách tự do trải nghiệm những món ăn mang hương vị Pháp đầy lôi
Sôi nổi, phóng khoáng, vui nhộn chính là tinh thần mà Yakimono – Quán thịt nướng Nhật Bản muốn mang đến cho bạn. Trái ngược với khung cảnh yên bình bên ngoài, chỉ cần đẩy
Hoa Yêu Thương là bông hoa được ghép từ nhiều trái tim với mong muốn kêu gọi mọi người hãy chia sẻ yêu thương nhiều hơn. Cuộc sống sẽ tốt hơn rất nhiều nếu chúng
Gyu-Kaku nhập thịt tươi và cắt từng lát một tại nhà hàng để đảm bảo độ tươi ngon. Nước tương và miso truyền thống Nhật Bản chúng tôi dùng cho sốt và ướp thịt kĩ
Hạn sử dụng: 2025-12-31 00:00:00 Potico là điện hoa chuyên cung cấp bó hoa yêu thương và quà tặng ý nghĩa hàng đầu tại Việt Nam. Potico luôn miễn phí giao hàng trong khu vực
Nếu bạn là người Hàn Quốc sinh sống hoặc làm việc xa nhà, bạn nên ghé qua Butoomac để cảm nhận hương vị quê hương. Đây là những nhà hàng rất nổi tiếng ở Hà
Ra mắt thương hiệu tại Hà Nội với cơ sở đầu tiên Hàng Bông vào năm 2016, hiện nay, Don Chicken đã có 14 cửa hàng tại Hà Nội, Quảng Ninh, Bắc Ninh, Thanh Hóa
MIYEN - Nét chấm phá Nhật Bản tinh tế đầy duy mỹ. Miyen Japanese Fusion Cuisine mong muốn đem đến cho Quý Thực khách trải nghiệm bầu không khí giao thời của một đất nước
Với phương châm: “Nơi ẩm thực Hồng Kông được tôn vinh và chăm chút. Chúng tôi mang đến quý khách sự trải nghiệm tuyệt đối từ vị giác đến văn hóa ẩm thực”. Baoz Dimsum
A Mà Kitchen - Stay Vietnam, Taste HongKong Trở về Hồng Kông 40 năm trước, A Mà - Bà Nội của một gia đình Trung Hoa là người luôn tận tụy chăm lo từng bữa
Thương hiệu bánh donut thơm ngon, và những ly cà phê đậm đà, mang đến không gian thân thiện để kết nối mọi người. CRISPY DONUTS luôn cập nhật hương vị mới, đảm bảo mỗi
Đến Hệ thống tiNiWorld, các bậc phụ huynh hoàn toàn có thể yên tâm vì con yêu của mình được bảo vệ an toàn nhất. Tất cả các thiết bị đồ chơi tại đây đều
BORNGA VIỆT NAM: Là chi nhánh thuộc thương hiệu và chuỗi hệ thống nhà hàng nổi tiếng toàn cầu Bornga, Bornga Việt Nam hân hạnh phục vụ những món ăn mang đậm nét truyền thống
Otoké Chicken tự hào là thương hiệu gà rán của Việt Nam - được đầu tư và quản lý bởi Quỹ đầu tư VI (VIGroup) – một công ty quản lý quỹ chuyên nghiệp, chuyên
Với sự ra đời của cửa hàng đầu tiên tại Việt Nam vào năm 2007, chuỗi cửa hàng TOUS les JOURS khẳng định vị trí dẫn đầu trong phân khúc cao cấp bánh và cà
Bạn đang lên kế hoạch cho một bữa tiệc ấm cúng, một buổi hẹn hò hay một buổi liên hoan cuối năm? Đừng bỏ lỡ voucher tiền mặt từ Ssamjang - Nướng & Cuốn Chợ
Shang Chi - Taiwanese Rotary Hotpot là con tàu trải nghiệm và khám phá thiên đường lẩu Đài Loan đầy màu sắc và đa dạng. Shang Chi cũng là sự giao thoa giữa yếu tố
Không gian rộng rãi và sạch sẽ, nhân viên thân thiện, nhiệt tình chắc chắn là điểm đến lý tưởng cho một cuộc hẹn tại Spicy Box. Đến với Spicy Box bạn sẽ được hóa