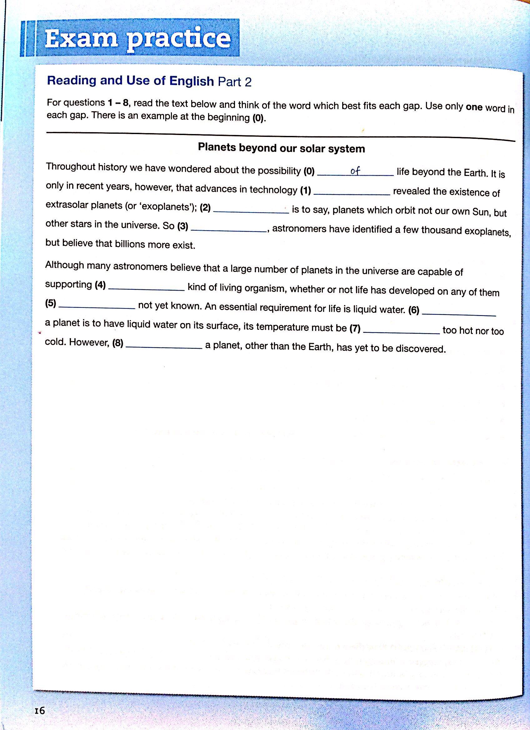
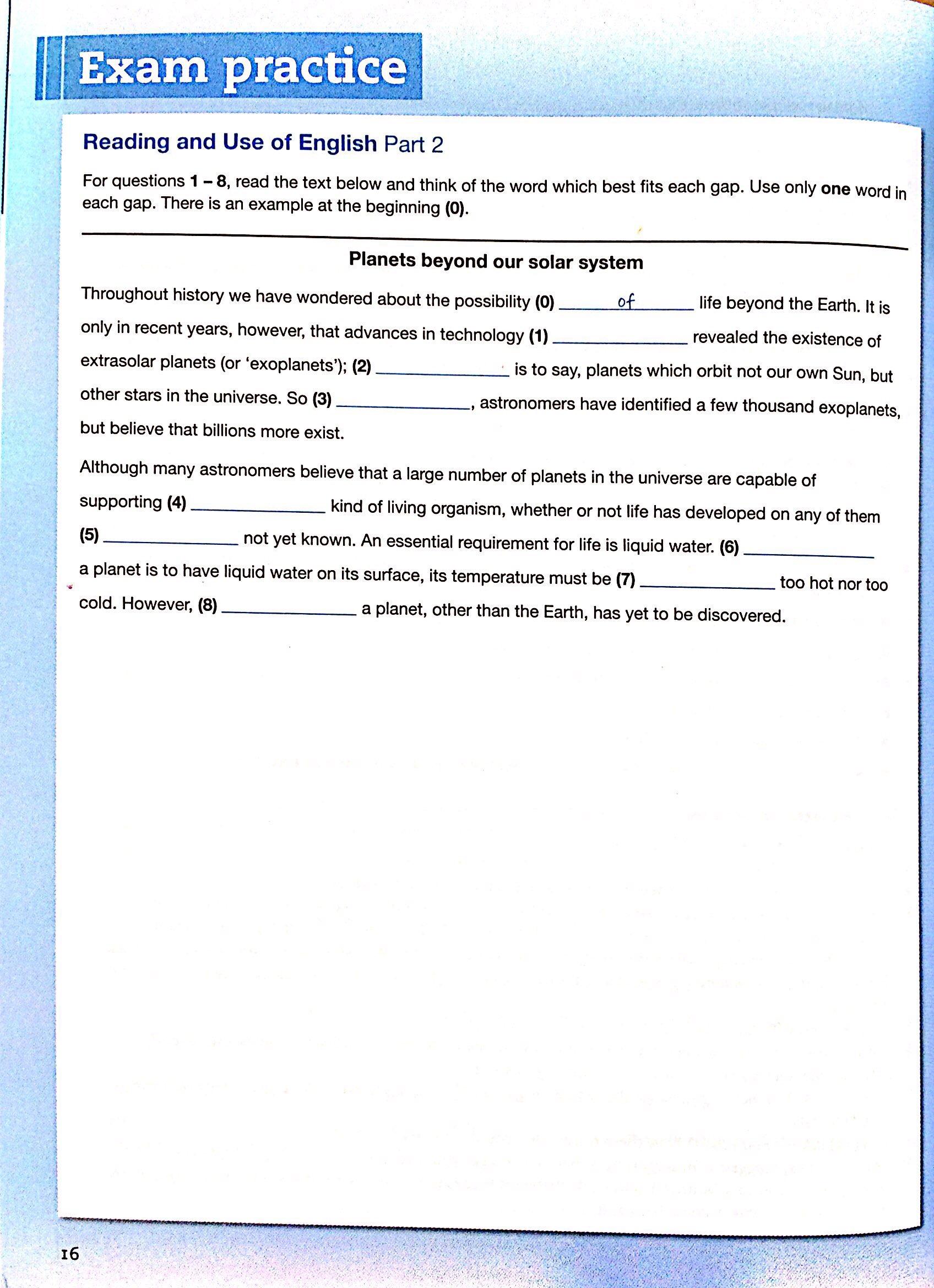
✨Sách Grammar and Vocabulary for Advanced Book with Answers and Audio: Self-Study Grammar Reference and Practice
Mua tại Shopee
Mua tại Tiki
Mua tại Lazada
Mua tại TiktokGrammar and Vocabulary reference and practice for the revised Cambridge English: Advanced (CAE) from 2015 Cambridge Grammar for CAE and Proficiency provides complete coverage of the grammar needed for both CAE and Proficiency with plenty of exam practice at the same time. Grammar is presented in a listening context giving students the chance to hear it being used in realistic situations and making it easier to remember. It includes the full range of exam tasks from the Reading, Writing and Listening papers and shows how grammar knowledge is tested in each of these. Informed by the Cambridge Learner Corpus, grammar is presented in genuine contexts and the book covers the errors students really make.
Mua tại Shopee
Mua tại Tiki
Mua tại Lazada
Mua tại TiktokGrammar and Vocabulary reference and practice for the revised Cambridge English: Advanced (CAE) from 2015 Cambridge Grammar for CAE and Proficiency provides complete coverage of the grammar needed for both CAE and Proficiency with plenty
In 1999, the A.B. Combs Elementary School in Raleigh, North Carolina, launched a new leadership program that taught Stephen R. Covey's The 7 Habits of Highly Effective People to a pilot group of children. The next year
English Collocations In Use Advanced Book With Answers (Vocabulary In Use) Improve your fluency and sound more natural in English. Collocations are combinations of words which frequently appear together. This book contains explanations and practice
Academy Stars Level 1 Pupils Book Pack
the geek way economist best books of the year financial times business book of the month 'a handbook for disruptors' - eric schmidt, former ceo of google learn how the 'geek' mindset is revolutionizing the
growth iq the wall street journal top ten bestseller: the 10 strategies to sustainable growth, based on a purpose-led culture for organizations large and small. 'a worthy successor to michael porter, bova's book is that
intentional integrity ‘stop talking about bringing your values to work and learn how to actually do it!’ – kim scott, bestselling author of radical candor intentional integrity, by silicon valley expert rob chestnut, provides an
Welcome to Cold Mountain Penitentiary, home to the Depression-worn men of E Block. Convicted killers all, each awaits his turn to walk “the Green Mile,” the lime-colored linoleum corridor leading to a final meeting with
Kid's Box 2nd ed Activity Book with Online Resources Level 6
Kid's Box 2nd ed Activity Book with Online Resources Level 1
Kid's Box Second edition Pupil's Book Level 6
Kid's Box Second edition Pupil's Book Level 3
Kid's Box Second edition Pupil's Book Level 1
Family & Friends (2 Ed.) 1: Workbook Family and Friends offers a carefully graded approach to reading, writing and literacy skills in English to young learners. No other course offers you the same benefits as
Family and Friends offers a carefully graded approach to reading, writing and literacy skills in English to young learners. No other course offers you the same benefits as Family and Friends. The exceptionally strong skills
New Get Smart 2 Flashcards New Get Smart là một khóa học chính đưa những học sinh từ trình độ sơ cấp đến trung cấp, đồng thời xem xét cẩn thận nhu cầu và sở
New Get Smart 4 Flashcards New Get Smart là một khóa học chính đưa những học sinh từ trình độ sơ cấp đến trung cấp, đồng thời xem xét cẩn thận nhu cầu và sở
Cambridge English Empower is a general adult course that combines course content from Cambridge University Press with validated assessment from the experts at Cambridge English Language Assessment. The Pre-intermediate Student's Book gives learners an immediate
Everybody Up (2E) 4 Student Book Everybody Up gets students talking about the real world. Posters, videos, stories, and songs link English to other school subjects and universal values, developing global citizens with 21st century
Oxford Phonics World Refresh 5 Students Book Pack Oxford Phonics World is the first step on your students' journey into English, leading you through all 44 sounds .
English File 4th Edition: Intermediate: Student's Book With Online Practice The English File fourth edition Student's Book is packed full of interesting content to keep students of all levels talking. Online Practice gives students the
Starlight: Level 4: Workbook Using a clear 'engage - practice - communicate' approach in every lesson, Starlight's lively stories, songs, projects, CLIL lessons and high-level course syllabus help students master the language they need for exams
English World 5: Pupil Book with eBook Pack English World is a stunningly visual ten-level course which will take children through from primary to secondary. Written by the authors of best-sellers Way Ahead and Macmillan
Provides more practice to consolidate the Student Book Alphabet Writing Practice familiarizes children with upper and lower case letter shapes
Kid's Box Second edition Pupil's Book Level 5
Voices Advanced - Workbook With Answer Key
Let's Go: Level 3: Workbook With Online Practice - 5th Edition Inspire students to enjoy learning in English with a trusted methodology and easy-to-use teaching tools. Let's Go 5th Edition provides lively and motivating activities
Plus de 50 règles et astuces pour ne plus faire de fautes en orthographe ! Vous hésitez entre a et à, ou et où, et et est, quoique et quoi ? En un clin d'oeil,
ACCESS Series – Grade 6-9 is an ELT series that specially designed specifically for secondary students with English advance programs, based on the method of language synthesis. Levels: 4 cấp độ, từ Lớp 6 –
Super Safari: Super Safari British English edition is a three-level pre-primary course that welcomes very young children to English through stories, songs and plenty of playtime while supporting their cognitive, motor-sensory and social development. Join
Prepare A1 Level 1 Workbook With Audio Download PREPARE 2nd edition Level 1 provides a foundation for levels 2 and 3 which prepare students for the revised 2020 A2 Key for Schools exam. The Level
English World is a stunningly visual ten-level course which will take children through from primary to secondary. Written by the authors of best-sellers Way Ahead and Macmillan English, English World combines best practice methodology with
Academy Award-winning screenwriter Quentin Tarantino returns with his most infamous, most brilliant, most masterful screenplay At the end of the Civil War, a stagecoach hurtles through the wintry Wyoming landscape. Bounty hunter John Ruth and
Nikkei Asia là tạp chí tiếng Anh có tên tuổi thuộc tập đoàn Nikkei - Nhật Bản, chuyên viết về những xu hướng kinh tế, công nghệ, chính trị của các nước trong khu vực
Nikkei Asia là tạp chí tiếng Anh có tên tuổi thuộc tập đoàn Nikkei - Nhật Bản, chuyên viết về những xu hướng kinh tế, công nghệ, chính trị của các nước trong khu vực
Nikkei Asia là tạp chí tiếng Anh có tên tuổi thuộc tập đoàn Nikkei - Nhật Bản, chuyên viết về những xu hướng kinh tế, công nghệ, chính trị của các nước trong khu vực
Nikkei Asia là tạp chí tiếng Anh có tên tuổi thuộc tập đoàn Nikkei - Nhật Bản, chuyên viết về những xu hướng kinh tế, công nghệ, chính trị của các nước trong khu vực
Nikkei Asia là tạp chí tiếng Anh có tên tuổi thuộc tập đoàn Nikkei - Nhật Bản, chuyên viết về những xu hướng kinh tế, công nghệ, chính trị của các nước trong khu vực
Nikkei Asia là tạp chí tiếng Anh có tên tuổi thuộc tập đoàn Nikkei - Nhật Bản, chuyên viết về những xu hướng kinh tế, công nghệ, chính trị của các nước trong khu vực
Grammar Friends: 2: Student Book The step-by-step grammar presentations in Grammar Friends introduce form, use and meaning in a way that even young beginner learners can understand and remember. The series was written to support
The Cambridge Preliminary English Test 5 practice tests provide candidates with an excellent opportunity to familiarise themselves with the 2004 PET exam and to practise examination techniques. The Student's Book contains practice material for Paper
Kid's Box 2nd ed Activity Book with Online Resources Level 5
English Plus: Level 1: Student's Book 1 The English Plus Student's Book provides plenty of carefully planned practice to build students' confidence whatever their ability. Extra material offers flexible options so that you can cater to different
Ferris Wheel Level 1 Activity Book The Ferris Wheel Activity Book offers further practice of all the language and content which has been introduced in the Student's Book.
Build conversation skills, with functional language in the new Fluency Time! sections - even see the conversations in action, on the Fluency DVD. Cross-curricular lessons present language in natural, real-life contexts. Students can take their
American Family And Friends: Level Five: Workbook We asked what teachers liked and what they wanted to change. They told us - and we listened. Fluency development. Cross-curricular lessons and projects. Online Play. Just a
Brighter Ideas 3 - Student Book With Online Practice Brighter Ideas is designed to engage students enquiring minds, encouraging them to participate in discussions about real-world topics, and achieve results. With a range of flexible
Prepare B1 Level 5 Workbook with Audio Download PREPARE 2nd edition Level 5 combines 'teen-appeal' topics with extensive preparation for the revised 2020 A2 Key for Schools exam. The Level 5 Workbook provides additional reading,
Big English AmE 2Ed Level 2 Value Pack (SB + WB) Big English is a 6-level, intensive primary course. Designed for achieving results, Big English provides a curriculum that delivers comprehensive English language acquisition underpinned
Let's Begin: Level 2: Student Book - 5th Edition Inspire students to enjoy learning in English with a trusted methodology and easy-to-use teaching tools. Let's Go 5th Edition provides lively and motivating activities and offers
Provides more practice to consolidate the Student Book Picture Dictionary (Levels 1-4) helps with vocabulary practice Grammar Reference Guide (Levels 5-6) offers more practice, and allows students and teachers to check grammar rules
Build conversation skills, with functional language in the new Fluency Time! sections - even see the conversations in action, on the Fluency DVD. Cross-curricular lessons present language in natural, real-life contexts. Students can take their
Build conversation skills, with functional language in the new Fluency Time! sections - even see the conversations in action, on the Fluency DVD. Cross-curricular lessons present language in natural, real-life contexts. Students can take their
Build conversation skills, with functional language in the new Fluency Time! sections - even see the conversations in action, on the Fluency DVD. Cross-curricular lessons present language in natural, real-life contexts. Students can take their
Build conversation skills, with functional language in the new Fluency Time! sections - even see the conversations in action, on the Fluency DVD. Cross-curricular lessons present language in natural, real-life contexts. Students can take their
Build conversation skills, with functional language in the new Fluency Time! sections - even see the conversations in action, on the Fluency DVD. Cross-curricular lessons present language in natural, real-life contexts. Students can take their
Everybody Up (2E) 5 Student Book Everybody Up gets students talking about the real world. Posters, videos, stories, and songs link English to other school subjects and universal values, developing global citizens with 21st century
Kid's Box Second edition Class Book With CD-ROM Starters
Let's Begin: Level 1: Workbook with Online Practice - 5th Edition Inspire students to enjoy learning in English with a trusted methodology and easy-to-use teaching tools. Let's Go 5th Edition provides lively and motivating activities
Big English AmE 2Ed Level 1 Value Pack (SB + WB) Designed for achieving results, Big English 2nd Edition (American English) delivers comprehensive English language acquisition alongside CLIL and broader life skills, supported by unique
👁️ 21 | ⌚2025-11-19 08:08:02.388
Grammar and Vocabulary for Advanced
The World’s Boldest Vacation | Royal Caribbean®
Which GRAMMAR IN USE Do You Need?
[Audio] Cambridge Vocabulary For Ielts With Answers - 30 12b
[Audio] Cambridge Vocabulary For Ielts With Answers - 12 4b
OWIS Nanyang International Day (in 30 seconds!)
Grammar and Vocabulary for Advanced
The World’s Boldest Vacation | Royal Caribbean®
Which GRAMMAR IN USE Do You Need?
[Audio] Cambridge Vocabulary For Ielts With Answers - 30 12b
[Audio] Cambridge Vocabulary For Ielts With Answers - 12 4b
OWIS Nanyang International Day (in 30 seconds!)
The BEST English GRAMMAR Book for SELF-STUDY?
Best Value Advanced English Grammar Books in 2020
Grammar and Vocabulary for Advanced
Which GRAMMAR IN USE Do You Need?
[Audio] Cambridge Vocabulary For Ielts With Answers - 30 12b
[Audio] Cambridge Vocabulary For Ielts With Answers - 12 4b

Xe Đẩy DCG-29 Đức Cường Inox 2 Tầng 35 x 50 (Có Hộc) – Giải Pháp Tiện Lợi Cho Mọi Nhu Cầu Vận Chuyển
Grammar and Vocabulary for Advanced
The World’s Boldest Vacation | Royal Caribbean®
Which GRAMMAR IN USE Do You Need?
[Audio] Cambridge Vocabulary For Ielts With Answers - 30 12b
[Audio] Cambridge Vocabulary For Ielts With Answers - 12 4b
OWIS Nanyang International Day (in 30 seconds!)
Grammar and Vocabulary for Advanced
The World’s Boldest Vacation | Royal Caribbean®
Which GRAMMAR IN USE Do You Need?
[Audio] Cambridge Vocabulary For Ielts With Answers - 30 12b
[Audio] Cambridge Vocabulary For Ielts With Answers - 12 4b
OWIS Nanyang International Day (in 30 seconds!)
The BEST English GRAMMAR Book for SELF-STUDY?
Best Value Advanced English Grammar Books in 2020
Grammar and Vocabulary for Advanced
Which GRAMMAR IN USE Do You Need?
[Audio] Cambridge Vocabulary For Ielts With Answers - 30 12b
[Audio] Cambridge Vocabulary For Ielts With Answers - 12 4b

Đồng hồ thông minh AMA Watch D56 được thiết kế đặc biệt cho trẻ em, với nhiều tính năng ấn tượng. Lưu ý: Không nên sử dụng sim Mo..bi, Intel vì sóng Mobi, Intel
- Thiết kế gọn nhẹ, dễ mang theo phù hợp sử dụng độc lập hoặc bỏ balo, vali - Vải Cordura cao cấp chống nước, chống bám bẩn, bền bỉ theo thời gian - Công
- Thùng 10 Hộp Bánh Quy Bơ Balocco Novellini 350g được làm từ những nguyên liệu tự nhiên cao cấp mang đến chất lượng thơm ngon nhất cho sản phẩm. - Hơn nữa, bánh không
Máy tăm nước không dây LocknLock ENR154WHT 250ml, Hàng chính hãng, 4 chế độ, dung lượng pin 2000mAh - JoyMall THÔNG TIN SẢN PHẨM Màu trắng Bộ sản phẩm bao gồm: Thân máy, 4 đầu
Kéo cắt cành màu bạc phong cách Nhật Bản Spear & Jackson 4452JS Kéo đa năng cho vết cắt chính xác và tinh tế Lý tưởng để cắt hoa, nụ và cây cảnh Lưỡi thép
Túi chống sốc chính hãng TOMTOC (USA) 360° Protective - A13-E01 cho Macbook Pro 16 inch New TOMTOC (USA) là một thương hiệu nổi tiếng ở Mỹ, ra đời đầu năm 2015 chuyên sản xuất những sản phẩm như túi chống sốc, túi
Túi chống sốc chính hãng TOMTOC (USA) 360° Protective-A13D2 cho Macbook Pro 14 inch TOMTOC (USA) là một thương hiệu nổi tiếng ở Mỹ, ra đời đầu năm 2015 chuyên sản xuất những sản phẩm như túi chống sốc, túi
Túi chống sốc chính hãng TOMTOC (USA) 360° Protective-A13C2 cho Macbook Air/Pro 13 inch TOMTOC (USA) là một thương hiệu nổi tiếng ở Mỹ, ra đời đầu năm 2015 chuyên sản xuất những sản phẩm như túi chống sốc, túi
BẢO HÀNH 12 THÁNG 1 ĐỔI 1 TRONG 2 TUẦN SỬ DỤNG ️ shop cam kết giao đúng sản phẩm như trên bài đăng ️ 1 đổi 1 trong 2 tuần đầu sử dụng nếu
Có em chăn lông thỏ này không lo mùa đông lạnh nữa đâu ạ ️Siêu phẩm chăn lông thỏ với độ mềm đạt tiêu chuẩn xuất âu. ️Nằm 1 trong những top chăn đứng đầu
Xe Đẩy Inox 2 Tầng 35 x 50 (Có Hộc) – Giải Pháp Tiện Lợi Cho Mọi Nhu Cầu Vận Chuyển Thông số kỹ thuật: • Tên sản phẩm: Xe đẩy inox 2 tầng có
Đèn đường năng lượng mặt trời 300w Được sử dụng để chiếu sáng đường đi, lối đi cho các khu công nghiệp, khu dân cư; chiếu sáng sân vườn cho các khu biệt thự,
máy cưa Máy Cưa Pin Cầm Tay 6 Inch 3000W Kèm Pin cưa Gỗ Tỉa Cây Cảnh Khai Thác Vườn Tiện Dụng Thông tin : - Chất liệu xích: thép carbon cao -Màu xám hoặc đen ( giao màu ngẫu nhiên ) -Nguồn điện: pin lithium-ion -Điện áp: 21V Kích thước tấm dẫn hướng: 6 inch - Công suất: 3000W -Nhông xích: 1/6" - Kích thước: 22x17cm -Bộ đổi nguồn: phích cắm EU/US - Các tình huống áp dụng: nhà, ngoài trời, dụng cụ điện, Tính năng: -Pin lithium dung lượng lớn. Công nghệ pin lithium, bảo vệ quá tải pin, sạc nhanh. -Động cơ lõi đồng. Công suất mạnh, thu năng lượng nhanh, phát ra công suất mạnh. -Xích dẫn hướng chất lượng cao. Sắc bén và chống mài mòn, tôi sâu giúp chống mài mòn và cắt mịn hơn.
Thông tin Sản phẩm Đai hỗ trợ bảo vệ khuỷu tay ZAMST chính hãng ELBOW BAND ✪ Thương hiệu Zamst ✪ Mã sản phẩm : ELBOW BAND ✪ Chất liệu : Sợi: Nylon, Polyester, Elastane,
Đồng hồ treo tường , để bàn Rhythm CMG890GR04- Kích thước 18.0 x 4.4cm, trọng lượng 240g, dùng pin (AA x 1), vỏ nhựa cao cấp. Máy kim trôi chạy cực êm ( không phát
Đồng hồ treo tường, để bàn Rhythm CMG890GR14- Kích thước 18.0 x 4.4cm, trọng lượng 240g, dùng pin (AA x 1), vỏ nhựa cao cấp. Máy kim trôi chạy cực êm ( không phát tiếng
Grammar and Vocabulary reference and practice for the revised Cambridge English: Advanced (CAE) from 2015 Cambridge Grammar for CAE and Proficiency provides complete coverage of the grammar needed for both CAE and Proficiency with plenty
Omega-3 Triple Strength – Bí Quyết Sống Khỏe Của Hàng Triệu Người! Bạn có nhận ra… Tim mình đôi khi mệt mỏi dù chưa già Tâm trí dễ căng thẳng, khó tập trung Xương khớp
3M Scotch-Weld DP8010 là keo acrylic hai thành phần, được thiết kế đặc biệt để dán các loại nhựa năng lượng bề mặt thấp (LSE) như polypropylene, polyethylene và TPEs. Keo có độ nhớt trung